WIYN / Bench Rebuild:
VPH 3550 l/mm Grating Optimization

 


Rigorous Coupled-Wave Analysis (RCWA):

Our approach is to find manufacturable values of DCG thickness and refractive index modulation that satisfy the performance parameters as specified at 65 degrees. Our assumption is that this optimization either places the superblaze peak near this angle, or otherwise delivers a grating at or above specification at all angles and wavelengths of interest.

We calculate the efficiency within a bandpass between 380-680 nm at 1 nm resolution for a 3550 l/mm grating at an incidence angle of 65 deg in first order. The calculation is repeated over a grid in mean index (5 values of n2 = 1.37, 1.40, 1.43, 1.46, 1.50), DCG index modulation (64 values dlogn from 0.005 to 0.1), and DCG thickness (70 values of D from 0.5 to 35 microns). The last n2 value (1.50) was done later, and is the adopted CSL target value. At each grid point we have evaluated the the bandpass in terms of:

  • peak diffraction efficiency
  • wavelength at peak diffraction efficiency
  • W50: the full width at half-maximum diffraction efficiency
  • S50: the equivalent width within W50

General conclusions:

  • Larger mean DCG index (n2) yields better performance.
  • For a given width or peak efficiency, there is a covariance of between DCG thickness and index modulation.
  • The best-performance gratings (high efficiency and large bandpass) have thin DCG with large index modulation. This means making good gratings is challenging.
  • There is a high-frequency periodicity to peak efficiency and width in either DCG thickness or modulation. This makes tuning the grating in the manufacturing process is tricky.

These conclusions are immediately obvious from direct inspection of the
RCWA D-DLOGN maps, and follow from expectations based on the Kogelnik appoximation; the grating is well into the Kogelnik regime.


Satisfying Performance Requirements:

From the design requirments, peak efficiency > 0.9 and W80 > 21 nm at 65o, with 510nm at the diffraction peak lmax. We assume the efficiency profile with wavelength is Gaussian in core. Hence W50/W80 = 1.762, and width requirement can be expressed as W50/lmax > 0.072.


Specific Findings and Conclusions

1. Wavelength: Peak diffraction efficiency wavelength (lmax) is near 521 nm, i.e., off-Littrow. This indicates that we should use a higher line-density to achieve 510 nm peak at 65o.

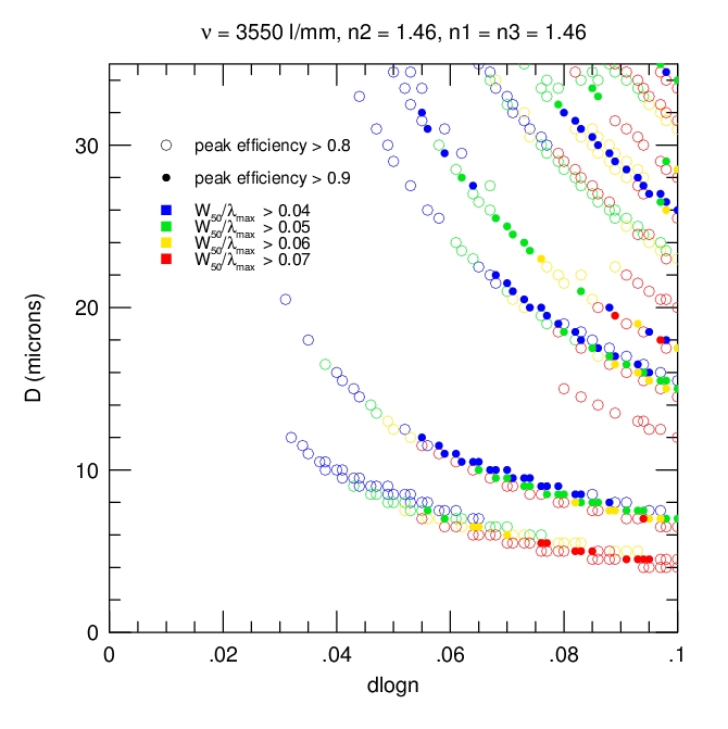
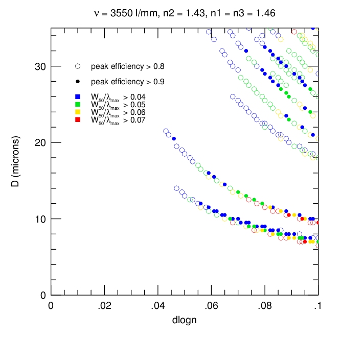
2. Efficiency and Bandwidth: For four different mean DCG refractive indices (n2 = 1.37, 1.40, 1.43, 1.46) we have identified the minimum DCG index modulations and the matching thickness satisfying various peak efficiency and W50 performance criteria. These are tabulated and plotted below. Note WP3200 grating has mean DCG index of 1.4 and a maximum dn of 0.048, or dlogn = 0.034. CSL has indicated it may be able to achieve dn values of 0.076. This translates into dlogn = 0.55 - 0.52 for n2 = 1.37-1.4, respectively, assuming that dn = 0.076 is achievable for this range of n2.

We conclude that our initial design requirements are somewhat optimistic, but that the mean refractive index, n2, of the DCG must be > 1.40 in order to approach the design requirements.
  • If n2 = 1.40, the bandwidth will be roughly half of our specification at 80% peak effciency.
  • If n2 = 1.43-1.46, most of the specified bandwidth can be achieved at 80% peak effciency.

Table 1. Minimum dlogn to Achieve Efficiency and Bandwidth Criteria

Peak
Diffraction
Efficiency
W50/lmax
 
(dl/l)
n2
 
 
dlogn
 
 
D
 
(microns)
     Peak
Diffraction
Efficiency
W50/lmax
 
(dl/l)
n2
 
 
dlogn
 
 
D
 
(microns)

    
0.8 0.041.37 NA NA     0.9 0.041.37 NA NA
0.8 0.041.400.05617.0    0.9 0.041.400.06722.5
0.8 0.041.430.04321.5    0.9 0.041.430.04620.5
0.8 0.041.460.03120.5    0.9 0.041.460.05512.0
 
0.8 0.051.37 NA NA     0.9 0.051.37 NA NA
0.8 0.051.400.07117.0    0.9 0.051.400.08215.0
0.8 0.051.430.05212.5    0.9 0.051.430.06710.0
0.8 0.051.460.03816.5    0.9 0.051.460.0567.5
 
0.8 0.061.37 NA NA     0.9 0.061.37 NA NA
0.8 0.061.400.08314.5    0.9 0.061.400.09113.5
0.8 0.061.430.05611.5    0.9 0.061.430.08211.5
0.8 0.061.460.04913.0    0.9 0.061.460.064 6.5
 
0.8 0.071.37 NA NA     0.9 0.071.37 NA NA
0.8 0.071.400.08913.5    0.9 0.071.40 NA NA
0.8 0.071.430.068 9.5    0.9 0.071.430.08910.5
0.8 0.071.460.05511.5    0.9 0.071.460.076 5.5

Optimized D-DLOGN for different thresholds in peak diffraction efficiency and bandwidth (W50) and four DCG refractive indices, n2. (All cases: incidence angle of 65o, m = 1.)
n2=1.37
n1=n3=1.46,   n1/n2 = 1.066
n2=1.40
n1=n3=1.46,   n1/n2 = 1.043
n2=1.43
n1=n3=1.46,   n1/n2 = 1.021
n2=1.46
n1=n3=1.46,   n1/n2 = 1.000

RCWA D-DLOGN Maps: Peak Diffraction Efficiency, Width and Equivalent-Width

Peak Diffraction Efficiency at 65o, m = 1, as a function of grating DCG thickness (D, in microns) and DCG index modulation (DLOGN = dn/n). Note circles in last panel for n2=1.50, which are 3 possible target values adopted by CSL, and are very close to the 2nd peak ridge-line (1st above 70%) at low d: d = (10,8,6) microns, dn = (0.063,0.078,0.010), and dlogn = (0.0420,0.0520,0.0667).
n2=1.37
n1=n3=1.46,   n1/n2 = 1.066
n2=1.40
n1=n3=1.46,   n1/n2 = 1.043
n2=1.43
n1=n3=1.46,   n1/n2 = 1.021
n2=1.46
n1=n3=1.46,   n1/n2 = 1.000
n2=1.50
n1=n3=1.46,   n1/n2 = 1.000


Bandwidth at 50% Peak Diffraction Efficiency (W50) at 65o, m = 1, as a function of grating DCG thickness (D, in microns) and DCG index modulation (DLOGN = dn/n). Bandwidth is normalized by peak wavelength (lmax), i.e., W50 hasdimensionless units of dlambda/lambda. Note circles in last panel for n2=1.50, which are 3 possible target values adopted by CSL, and lie in a trough in width. The loweest d, highest dlogn has the best value.
n2=1.37
n1=n3=1.46,   n1/n2 = 1.066
n2=1.40
n1=n3=1.46,   n1/n2 = 1.043
n2=1.43
n1=n3=1.46,   n1/n2 = 1.021
n2=1.46
n1=n3=1.46,   n1/n2 = 1.000
n2=1.50
n1=n3=1.46,   n1/n2 = 1.000


Equivalent Width of Bandpass within 50% Peak Diffraction Efficiency at 65o, m = 1, as a function of grating DCG thickness (D, in microns) and DCG index modulation (DLOGN = db/n). This is the effective bandwidth at 100% efficiency within the FWHM of the true bandpass. For a given FWHM bandwidth, larger effective band-widths indicate higher efficiency; for a given FWHM and peak efficiency, larger effective bandwidths indicate a more square-shaped (platykurtic) bandpass. Again, this effective bandwidth is normalized by peak wavelength, i.e., dimensionless units of dlambda/lambda. Note circles in last panel for n2=1.50, which are 3 possible target values adopted by CSL, and lie on the edge of the 2nd ridge. The lowest D, highest dlogn has the best value.
n2=1.37
n1=n3=1.46,   n1/n2 = 1.066
n2=1.40
n1=n3=1.46,   n1/n2 = 1.043
n2=1.43
n1=n3=1.46,   n1/n2 = 1.021
n2=1.46
n1=n3=1.46,   n1/n2 = 1.000
n2=1.50
n1=n3=1.50,   n1/n2 = 1.000


Optimization at 65 degrees

Here we compare the band-passes produced for small variations in index modulation (dn) near 3 regions of DCG thickness: 6, 8 and 10 microns. These are the values CSL focused on for the WP4200 grating. All are for a 3550 line grating with n1=n3=1.462 and n2=1.500. An incidence angle (in air) of 65 degrees is adopted. Note the delivered band-pass is significantly bluer than the Littrow wavelength of 511 nm.

Nominal
Values:
d = 6 microns d = 8 microns d = 10 microns
dn = 0.1 dn = 0.078 dn = 0.063

CONCLUSIONS:

  • There is little improvement for the 6-micron DCG grating, and indeed, overall this is the best band-pass.

  • For both the 8- and 10-micron DCG gratings, slightly lower dn and/or thinner DCG improves band-pass peak and width.


WIYN Home Page Bench Upgrade Home VPH Design v740 grating v3300 grating VPH Optomech

last updated: Nov 03, 2004 (mab@astro.wisc.edu)