WIYN / Bench Rebuild:
VPH High-Density Grating Design

 

v1.1

This page contains a description and notes on the process to design high density VPH gratings for the re-built WIYN Bench Spectrograph. Information is presented in order to give a complete and coherent picture of the design process. Use these links to jump to later sections:
Grating Basics Maximum Size Maximum Angle Science Optimization Proposed Parameters Grating Optimization Expected Performance Delivered Product Testing

Basic Quantities

These three plots show the following coupled relations for first-order VPH gratings used on the bench:

1. Resolution (R = lambda/dlambda) vs incidence angle (alpha): R = 2 * (fl/w)) * tan(alpha), where fl is the collimator focal length and w is the effective slit width.

2. Grating size (Dgrating) vs incidence angle (alpha): Dgrating = Dbeam/cos(alpha), where Dbeam is the effective collimated beam diameter.

3. Grating size (Dgrating) vs resolution (R), with quantities defined as above.

In all cases we have considered the two relevant collimator focal lengths: 1021mm (current) and 800mm (adopted upgrade); and 3 effective slit-widths for 200, 300, and 500 micron diameter fibers. The effective slit width is the FWHM, which for a circular fiber is cos(30) = 0.866 of the diameter. This table summarizes the effective slit widths for WIYN Bench fiber cables, and gives the reimaged effective slit widths (at the CCD) for de-magnifications of 3.58 and 2.81 corresponding to a camera effective focal length of 285mm and collimator focal lengths of 1021mm and 800mm, respectively:

fiber diameter (microns)200300500
effective slit-width (microns)173260433
image size with collimator fl=1021mm (microns)     4873121
image size with collimator fl=800mm (microns)6292154

CONCLUSIONS:

1. Higher resolutions are possible for the same size grating with the shorter focal length collimator because the smaller effective collimated beam allows for larger unvignetted angles and higher dispersion that more than compensates for the increased magnification. At a given resolution, the wavelength coverage will be greater with the longer focal-length collimator (smaller angular dispersions yield equivalent spectral resolution with smaller magnificaion). However, this comes at the monetary cost of a larger grating and at lower throughput because of vignetting in the camera.

2. Resolutions of 28,000 are possible with a 480 mm clear aperture VPH grating and the smallest existing (200 micron) fibers.

Notes: (i) To realize the gains from the faster collimator requires good grating coatings with high efficiency at large angles. (ii) Larger dispersions may be obtained at smaller angles and gratings with 2nd order gratings or two gratings used in series. Both of these options are possible, and will be considered later, elsewhere.

Maximum Size

The maximum grating size is the key factor limiting the delivered spectral resolution in a minimally-vignetted system. CSL can fabricate elliptic gratings (or sub-regions thereof with maximum dimensions:
       minor axis = 350mm
       major axis = 350mm cos(theta/2)/cos(theta)
where theta = asin[244e-6*nu] (theta is the recording angle of the interferometer), and nu = l/mm.

This set of plots shows the relationship between nu and the grating major axis size (Dmajor), and the resulting relationships between nu, the maximum grating angle (alphamax,air), wavelength, and maximum spectral resolution. The wavelength lambdaalpha-max is the central wavelength at the maximum incidence angle (alphamax,air) for a Littrow configuration (incidence and diffracted angles relative to groove plane are equal) where the grating is unvignetted.

These relationships are for Littrow gratings choosing maxima to be the largest unvignetted configuration for a given line frequency (hence, these are a function of beam size). Spectral resolution also depends on the ratio of collimator focal length to slit width f1/w. The two examples shown are for the existing Bench collimator and the planned, shorter off-axis collimator.

CONCLUSIONS:

1. The highest spectral resolutions with VPH gratings are obtainable at blue/visible wavelengths for unvignetted systems. A confluence of three (3) facts lead to this: The highest dispersions are achievad at the largest grating angles; grating size increases with line density (l/mm); and wavelength decreases with increasing line density for a given incidence angle. For the Bench, resolutions above 10,000 are achievable below 650nm for 500 micron diameter fibers; resolutions above 20,000 are achievable below 550nm for 300 micron diameter fibers; resolutions above 30,000 are achievable below 550nm for 200 micron diameter fibers.

2. Note again that higher spectral resolutions are achievable in unvignetted (i.e., high throughput) configurations with a shorter focal-length collimator: smaller beam size allows for larger incidence angles which trumps increased magnification.

Example: A 500mm x 230mm CSL grating would have a maximum unvignetted incidence angles (alpha) of 72.5 deg for a 150mm collimated beam, or 66.4 deg for a 200mm collimated beam. For typical gelatin indices (1.43) these angles correspond to grating incidence angles in the gelatin of 41.8 and 39.8 degrees. On the Bench Spectrograph with a 800mm effective focal-length collimator the 150mm and 200mm beams enclose 87% and 97% of the total light emergent from the fibers.

Reality: The cost of substrates is a strong function of size. Substrates over 400mm are very expensive, with few companies willing to bid. Nonetheless we have settled on a final high-density grating size of 480 x 210 mm clear aperture (500 x 230 x 30 mm substrate), and contracted with Zygo for delivery in July 2004. The maximum unvignetted angle with 480mm clear aperture is 71.8 deg.

The above excerise shows that higher resolutions are achievable if the higher cost is acceptable. Note reflection loss and coating issues below.

Maximum Angle

Reflection losses increase with incidence angle, placing constraints on total grating efficiency. The following is a summary of losses from two vendors for uncoated and multi-layer anti-reflection (AR) coatings. George Jacoby reports that Gary Poczulp's models show a single layer MgF is a bit better than midway between Newport Thin Films multilayer AR and uncoated performance.

Air-Glass % Reflection Losses Per Surface
  Uncoated Newport Thin Film Spectrum Thin Film
Angle   400-500nm 500-550nm 450-550nm
55o 6 2.5 2 < 1
60o 3.5 2.5
65o 11 5.5 4.5 < 2
70o 9.5 7.5
75o 24 17 15.5 < 7

CONCLUSION:     Losses above 70o are prohibitive with current coating technology. Optimize grating design up to 70o, with acceptable performance up to 75o.

Science Optimization

Line density is set by nu (l/mm) = 2 (n2/n1) (106/lambda) sin(phi) sin(alpha), where n1 and n2 are the refractive indices of the subtrates and the dichromated gelatin, lambda is the optimization wavelength (nm), phi is the fringe pitch, and alpha is the grating incidence angle (in air), also for optimization. Typical values are n1 = n2 = 1.43, phi = 90o for Littrow gratings. For the high-density gratings, in general the procedure is to choose a (lambda,alpha) pair that optimizes the spectral resolution over the most scientifically compelling range of wavelength. In this specific case we are constrained by the existing WP4200 contract, i.e., the choice of nu must be near 3300 l/mm.

Optimum wavelength range. There are two guiding principles on where to center the band-pass of the super-blaze: (1) Coverage of desired spectral features; (2) optimization of spectral resolution for particular spectral features.

One constraint is that for roughly 3300 l/mm gratings we will get the following range of incidence angles where the blaze peak (at a given angle) is above the listed thresholds.

blaze peak delta-alpha delta-lambda
> 80% 15 100
> 70% 20 115
> 60% 23 140
For reference the blaze efficiency of the current echelle is no better than 60%. At a given angle Spectral coverage with the VPH gratings will depends on the l/mm and grating angle. The dispersion for gratings in the range of 3300-3600 l/mm yields roughly 30 nm of coverage at 55 deg and 15 nm of coverage at 70 deg with the current camera and CCD. Over this range we can expect an optimized grating will have the efficiency above 80% of the peak value.

The next consideration are the following spectral features of interest, or of interest to avoid:

Hdelta 410.1 nm      Hbeta 486.1 nm      SKY 557.7 nm
CaI 422.6 [OIII] 495.9 HeI 587.5
G 430.4 [OIII] 500.7 Na 589.2
Hgamma 434.0 MgI 513.0
Fe 438.4 Ca+Fe 526.9

The last consideration is redshift. For DensePak and SparsePak work, galaxies out to recession velocities of 10,000-12,000 km/s are common targets. Hence factors of 1.04 should be applied to the above spectral table to spread the desired range to the red.

We conclude a range of 445-545 nm for the superblaze W80 is a near-optimal trade between coverage of features at high throughput, optimization for resolution near the MgI feature at rest and redshifted, and staying blueward of the 557.7 nm sky line. W80 is the width of the superblaze (in wavelength) where the blaze peak at any given angle is > 80% of the superblaze peak.

The usable wavelength range of the graing is considerably larger.

Proposed Grating Parameters

The following is a optimization trade between high throughput and high resolution for coverage near the MgI and Ca+Fe features between rest and 12,000 km/s recession velocities. The optimized region stays to the blue of the 557.7 nm sky line. Central wavelengths between 55 and 72 deg are between 461 and 537 If the delivered grating has broader response, then slightly off-Littrow configurations will expand the configurable wavelength range at a given spectral resolution.

PROPOSED WP4200 DESIGN PAREMETERS
  ``Requirement"   Best Effort
line-frequency: 3550 l/mm  
superblaze peak wavelength: 510.6 nm @ 65o  
superblaze peak efficiency: > 90%  
range of incidence angles with blaze peak
at > 80% superblaze peak
(> 70% absolute*):
55-70o   up to 72 o
wavelength range of blaze peak
at > 80% superblaze peak
(> 70% absolute*):
461-530 nm   up to 535 nm
wavelength range @ 55o
at > 80% blaze peak
(> 60% absolute*):
> 28nm
wavelength range @ 65o
at > 80% blaze peak
(> 70% absolute*):
> 21nm
wavelength range @ 70o
at > 80% blaze peak
(> 60% absolute*):
> 17nm

*Grating efficiencies do not include air-glass reflection losses.

What remains is optimization of grating thickness given what CSL expects it can achieve for index modulation and mean gelatin (DCG) index, n2. The optimum DCG thickness is an extremely sensitive function of the adopted mean DCG index and dn. Our calculations of the optimum grating index modulation and thickness for the above parameters can be found here. As of Jul 08 2004, this is work very much in progress; expect this link to change rapidly in the coming week.

Expected Grating Performance

SUMMARY

The proposed grating is expected to deliver spectral resolutions at or above the echelle grating with comparable spectral coverage and 60-100% higher efficiency.

Spectral Resolution and Coverage:

This plot shows the spectral resolution and coverage as a function of central wavelength for the proposed 3550 l/mm VPH grating to be manufactured by CSL. Indicated on the plot are the 5 incidence angles (alpha) between 55 and 72 degrees between which the grating efficiency will be optimized. The performance is calculated for the three fiber feed diameters. The spectral coverage is the same for all fibers. The following is a table of values for labeled angles:


Spectral Resolution and Coverage vs Angle for 3550 l/mm VPH Grating1
alpha
(deg)

Central
Wavelength
(nm)
Blue
Wavelength
(nm)
Red
Wavelength
(nm)
Wavelength
Coverage
(nm)
Spectral
Resolution
(Dfiber = 200 mu)
Spectral
Resolution
(Dfiber = 300 mu)
Spectral
Resolution
(Dfiber = 500 mu)
55461.5446.7474.627.9 13190 8795 5277
60487.9474.8499.224.4 16000 10670 6400
65510.6499.3519.920.6 19810 13210 7924
70529.4520.1536.716.7 25380 16920 10150
72535.8527.3542.315.1 28430 18950 11370
Spectral Resolution and Coverage vs Angle for 316@63.4 Echelle (order 11)
69513.1500.0526.226.2 200502,3
200501,4
197002
144401
117472
86651
       1 Collimator focal-length of 800mm is adopted for all resolution values.
       2 Collimator focal-length of 1021mm is adopted for all resolution values.
       3 2-pixel resolution is 20050; higher resolutions of 29560 achievable with new CCD.
       4 2-pixel resolution is 20050; higher resolutions of 21660 achievable with new CCD.

Efficiency:

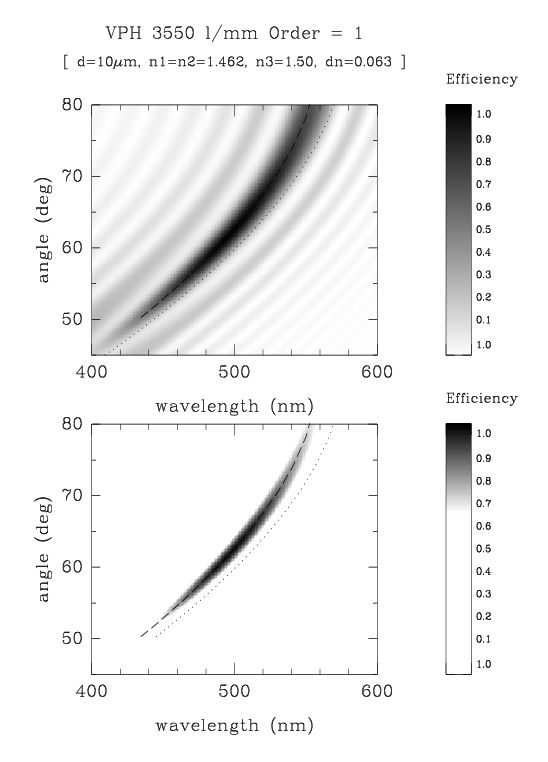
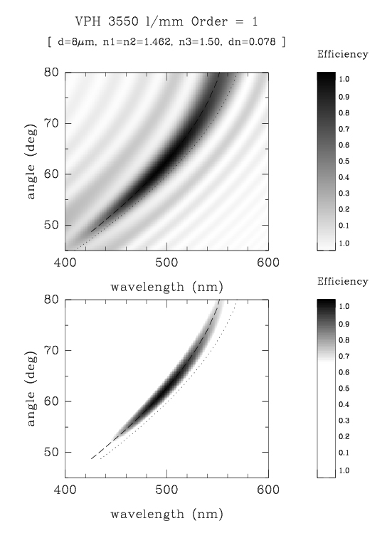
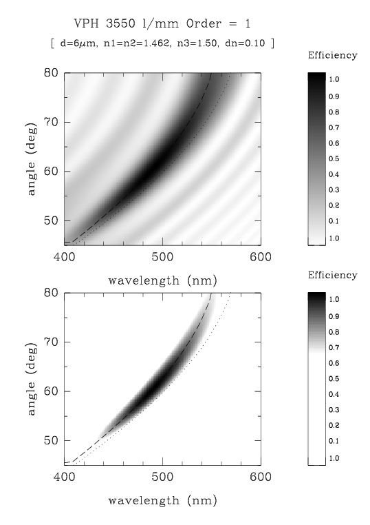
Overview Figure. These are the RCWA predicted grating diffraction efficiencies in first order for the 3550 l/mm grating for the set of three gelatin-thickness and index-modulation parameters proposed by CSL. All three meet or exceed peak and super-blaze efficiency requirements; only the case for the highest index-modulation and thinnest gelatin meets the band-width requirements. THESE CURVES DO NOT INCLUDE REFLECTION LOSSES (see this table).

Assuming the highest index-modulation is achieved, compared to the current echelle:

This combination of factors yields an estimated 60-80% boost in efficiency at central wavelengths and closer to factors of 2 at the blue and red ends, depending in detail on the band-width of the delivered grating. In addition to these gains, there is an additional 60% mean throughput gain from the proposed faster collimator.

Detailed Information on Diffraction Efficiency: Below are RCWA predicted 1st-order grating diffraction efficiencies for the three pairs of values of gelatin thickness and index modulation, assuming n1 = n2 = 1.462 and n3 = 1.5: d = (6, 8, 10) microns, dn = (0.10, 0.078, 0.063), and dlogn = (0.042, 0.052, 0.067). These values are what CSL has settled on for the WP4200 grating, with their current goal to obtain d = 6 microns and dn = 0.1 (dlogn = 0.0667). What is currently shown are efficiency plots of incidence angle (alpha) vs wavelength in BW and color, as well as color line plots of efficiency vs wavelength for a series of angles. As before, these plots do not include reflection losses.

d = 6 microns
dn = 0.100
n1=n2=1.462, n3=1.50
d = 8 microns
dn = 0.078
n1=n2=1.462, n3=1.50
d = 10 microns
dn = 0.063
n1=n2=1.462, n3=1.50
Efficiency Maps:
incidence angle
vs
wavelength
(BW version)
Efficiency Maps:
incidence angle
vs
wavelength
(color version)
Efficiency Maps:
incidence angle
vs
wavelength
(color version)


For comparison:

These are RCWA predicted grating diffraction efficiency in first order for a 3300 l/mm VPH grating with unknown parameters (Barden). Our design for the 3550 grating has shifted the superblaze from about 62.5 deg and 525 nm seen in this figures to the proposed values of 65 deg and 511 nm.
These are the RCWA predicted efficiency of 3300 l/mm VPH grating WP3200 parameters from CSL (Bershady estimates):
d = 12 microns (effective)
dn = 0.048
n1=n3=1.43, n2=1.4
Horizontal, colored lines span sampled Bench band-pass at given grating angle at minimum efficiency. Thin, dotted vertical lines are existing Bench-echelle half-order wavelengths for 11-deg camera-collimator angle.

Delivered Product

Final delivered product: Delivery was taken on 20 Feb 2006 to WIYN from CSL. As the above web page will be revised to relate: The final grating is 3300 l/mm.

Efficiency measurements at CSL in a small (1 cm) beam indicate peak diffraction efficiencies at 510 nm, corresponding to an incidence angle of rougly 57.25 deg. Note that in the Figure here (left), an attempt has been made to correct the measured transmissivity (transmission efficiency) for surface (reflection) losses. Diffraction efficiency is expected to be "1 - transmission efficiency."

This is a combined measurement of the corrected TE and TM polarizations. The absolute calibration of this diagram is TBD. Laser-line measurements in both polarizations indicate a somewhat higher diffraction efficiency. (A detailed exchange between MAB and PAB at CSL is in an email record.) Measurements at CSL in various grating locations indicate some non-uniformities in the diffraction efficiency over the grating. In general, the center of the grating appears to perform best.

The measured >70% peak diffraction efficiency in this plot corresponds to incidence angles alpha between 50 and 65 degrees or central waves of 465 nm and 545 nm. The >80% peak diffraction efficiency is expected between alpha of 53 and 60 degrees or 485 nm and 525 nm.

On-Telescope Testing

Testing is planned for 09-14 Apr 2006 on the Bench spectrograph during T&E. This is to be done with the uncoated grating in a temporary holder designed also to serve as a holder for coating.

The initial step is to determine how to place this holder into the primary (1st) grating turret so that the beam is un-obstructed and the grating is well-aligned. A phone-message report from Di to Pat (05 Apr 06) indicates Di and Gene have a plan and some ideas on how to accomplish this.

The primary goals of the grating testing are to explore the image quality and throughput of the VPH grating. Overall during the tests:

  • document all set-up specifics (filters, cables, exposures, masks, source, grating-camera distances). It is very important to record the grating-camera distance and assess the degree to which this is optimized. Specificaly, how much closer could the camera be moved and still not vignette the beam? What limits decreasing the distance: beam vignetting or mechanical collision?
  • digitally photograph set-up procedure in-process, i.e., make a documentary.

The detailed procedure must take into account the fact that the current camera mount constrains setups to camera-collimator (&thetacc) angles smaller than 70 degrees (see this email from Di). This means we are restricted to testing grating incidence angles &alpha = (180-70)/2 = 55 deg, which corresponds to cwl of 496.5 nm or larger. This means we can match the central wavelengths of the following VPH and echelle setups as per this table:

WP4200: 3300 l/mm VPH echelle
cwl = 513.1 nm cwl = 513.1 nm
&alpha = 57.85 deg &alpha = 68.99 deg
&thetacc = 64.3 deg &thetacc = 11 deg
order 1 order 11 (10.96)
no filter X14 filter
optimize camera back-distance to
minimize vignetting seperately in both cases

The specific test-measurements for this April 2006 T&E, in order of priority:

wavelength range on current CCD
&alpha cwl blue limit red limitComments
(deg) (nm) (nm) (nm)
55 496.5 480.5 510.6
57.85 513.1 setup for comparing to echelle
60 524.9 510.8 537.0
65 549.3 537.2 559.3
70 569.5 559.5 577.4

As always: Comments and discussion more than welcome. If we need to depart from this plan I'd like to hear about it in advance.

-MAB, 09 Apr 06


WIYN Home Page Bench Upgrade Home v740 grating v3300 grating VPH Optomech

last updated: Apr 09, 2006 (mab@astro.wisc.edu)