Faint QSO and AGN Surveys


Matthew A. Bershady

Contents


Summary

Scope of current surveys: Samples of faint quasi-stellar objects (QSOs) and low-luminosity active galactic nuclei (AGN) have been selected using a variety of schemes from deep 4m photographic plates in U, BJ, RF, and IN bands to BJ=22.5, RF=22 in four high galactic-lattitude fields. The total area covered is 1.26 degrees2. Plates have been collected over a time scale of over 20 years, allowing the variability and proper motion of all sources to be studied. Consquently, QSO candidates have been selected on the basis of color, variability, and zero proper-motion. With this variety of selection criteria, we should have assembled the most complete (faint) QSO sample to date. Spectroscopic follow-up of candidates has uncovered roughly 130 quasars, and yet there are still many remaining candidates without spectroscopic observations!

Have we missed QSOs at low-to-intermediate redshifts becasue they no longer appear stellar? The search for low-luminosity AGN has been extended, using variability, to objects with non-stellar (extended) light profiles. So far, we have roughly 50 candidates, which are presumably all intermediate redshift (z<1) galaxies. To date we only have spectroscopy of the three brightes candirtteas which all show evidence for the presence of AGN.

The primary scientific questions we are trying to answer with these surveys are:

Collaborators: R. Kron (U. Chicago/Fermilab), S. Majewski (U. Virginia), J. Munn (US Naval Obs, Flagstaff), D. Trevese (U. Rome, "La Sapienza"), J. Semtanka (U. Chicago), D. Koo (UC Santa Cruz/Lick Observatory)


Selecting QSOs by color

Fig. 1: Color density vs. distance (from the stellar locus) parameters for all objects in our survey. The color-selected candidates are all non-crosses objects to the upper right of the boundaries )the crosses represent objects with BJ-RF>1 and RF-IN>1, which are likely M dwarfs). The other symbols have the following meanings. Diamonds: broad-lined objects (i.e. quasars); box + dot: narrow-lined objects; box: spectroscopically a galaxy; circle: spectroscopically a star; dot: all others (objects with poor or non-existent spectra).

Fig. 2: BJ,RF,IN color-color diagrams for candidates in one of our fields (Lynx-2) with 20<RF<21.5. The left panel shows the objects selected according to the previous 1, again excluding the objects with BJ-RF>1 and RF-IN>1. The symbols are as in the previous figure. The central panel shows the compliment, namely all other objects. The right panel gives the distribution of resolved images (i.e. galaxies), for comparison. In all panels, the locus giving the adopted stellar mean color is drawn for reference.

Selecting QSOs by variability and zero proper motion

(under construction)

Space density of QSOs selected by color

Redshift vs. RF magnitude (Hubble) diagram for all objects with good spectroscopic information, plotted such that for q0=1, objects of fixed absolute magnitude and fnu proportional to nu-alpha, alpha=1 are on diagonal lines. Solid diamonds: broad-lined objects in the candidate sample; open diamonds: all othger broad-lined objects; box+dot: narrow-lined objects; box: galaxy.

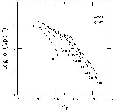
The derived luminosity fuinction from our sample alone, binned as a function of redshift (the bin center is marked). The density is given per unit magnitude per Gpc3.

Selecting faint AGN at intermediate redshift

(under construction)


References: Papers directly related to the above surveys


"Stars with Zero Proper Motion and the Number of of faint QSOs," Kron, R.G. and Chiu, L.T.G. 1981, PASP , 93 , 397

"QSO Counts: A Complete Survey of Stellar Objects to B=23," Koo, D.C, Kron, R.G. 1982, A&A , 105 , 107

"Quasars to B > 22.5 in Selected Area 57 - A Catalog of Multicolor Photometry, Variability, and Astrometry," Koo, D.C., Kron, R.G. and Cudworth, K.M. 1986, PASP , 98 , 285

"Spectroscopic survey of QSOs to B = 22.5 - The luminosity function," Koo, D.C., Kron, R.G. 1988, ApJ , 325 , 92

``A Survey for Faint Variable Objects in $SA$ 57,'' Trevese, D., Pittella, G., Koo D.C., Kron, R.G., and Bershady, M.A. 1989, A.J., 98, 108

"Quasar Colors: Statistics and Cosmological Evolution," Giallongo, E., Trevese, D. 1990, ApJ , 353 , 24

``A Search For Faint Variable Galactic Nuclei In $SA$ 57,'' Bershady, M.A., Trevese, D., and Kron, R.G. 1991, in Variability of Active Galactic Nuclei, eds. H.R. Miller and P.J. Wiita, (Cambridge University Press), p. 67

``The Faint Quasar Luminosity Function,'' Kron, R.G., Bershady, M.A., Munn, J.A., Smetanka, J.J., Majewski, S.R., and Koo, D.C. 1991, in Workshop on the Space Distribution of Quasars, ed. D. Crampton (Provo: Astronomical Society of the Pacific), vol. 21, p. 32

``A Variability and Proper Motion QSO Survey to $B_J$=22.5,'' Majewski, S.R., Munn, J.A., Kron, R.G., Bershady, M.A., Smetanka, and Koo, D.C. 1991, in Workshop on the Space Distribution of Quasars, ed. D. Crampton (Provo: Astronomical Society of the Pacific), vol. 21, p. 55

``Emission-Line Properties of Faint Quasars and Compact Galaxies,'' Smetanka, J.J., Bershady, M.A., Kron, R.G., Majewski, S.R., and Munn, J.A. 1991, in Workshop on the Space Distribution of Quasars, ed. D. Crampton (Provo: Astronomical Society of the Pacific), vol. 21, p. 100

``A Deep QSO Survey,'' Majewski, S.R., Bershady, M.A., Kron, R.G., Munn, J.A., Smetanka, J.J., and Koo, D.C. 1991, in Workshop on the Space Distribution of Quasars, ed. D. Crampton (Provo: Astronomical Society of the Pacific), vol. 21, p. 393

``Survey Incompleteness and the Evolution of the QSO Luminosity Function,'' Majewski, S.R., Munn, J.A., Kron, R.G., Bershady, M.A., Smetanka, J.J., and Koo, D. C. 1992, in The Evolution of Galaxies and Their Environment Environment, eds. D. Hollenbach, H. Thronson, and J. M. Shull (NASA Conference Publication 3190: Ames Research Center), p. 7

``The Ensemble Variability Properties of Faint QSOs,'' Trevese, D., Kron, R.G., Majewski, S.R., Bershady, M.A. and Koo, D.C. 1994, ApJ, 433, 494

"Optical Variability of Quasars," Trevese, D., Bunone, A., Nanni, D., Bershady, M. A., Kron, R. G. 1997, Mem.S.A.It., 68, 251

"A Search for Galaxies with a Variable Nucleus," Trevese, D., Bershady, M. A., Kron, R. G. 1997, to appear in proceedings of ESO/IAC Workshop on Quasar Hosts, (Puerto de la Cruz, Tenerife, Spain)

"Variable Extended Objects in SA 57," Bershady, M. A., Trevese, D., Kron, R. G. 1997, submitted to ApJ



last updated: Feb. 12, 1996 (mab@astro.psu.edu)